İTİRAZ VE ŞİKAYET PROSEDÜRÜMÜZ

İtiraz ve Şikayet Prosedürü

İtiraz ve Şikayet Prosedürü

İtiraz ve Şikayet Prosedürü

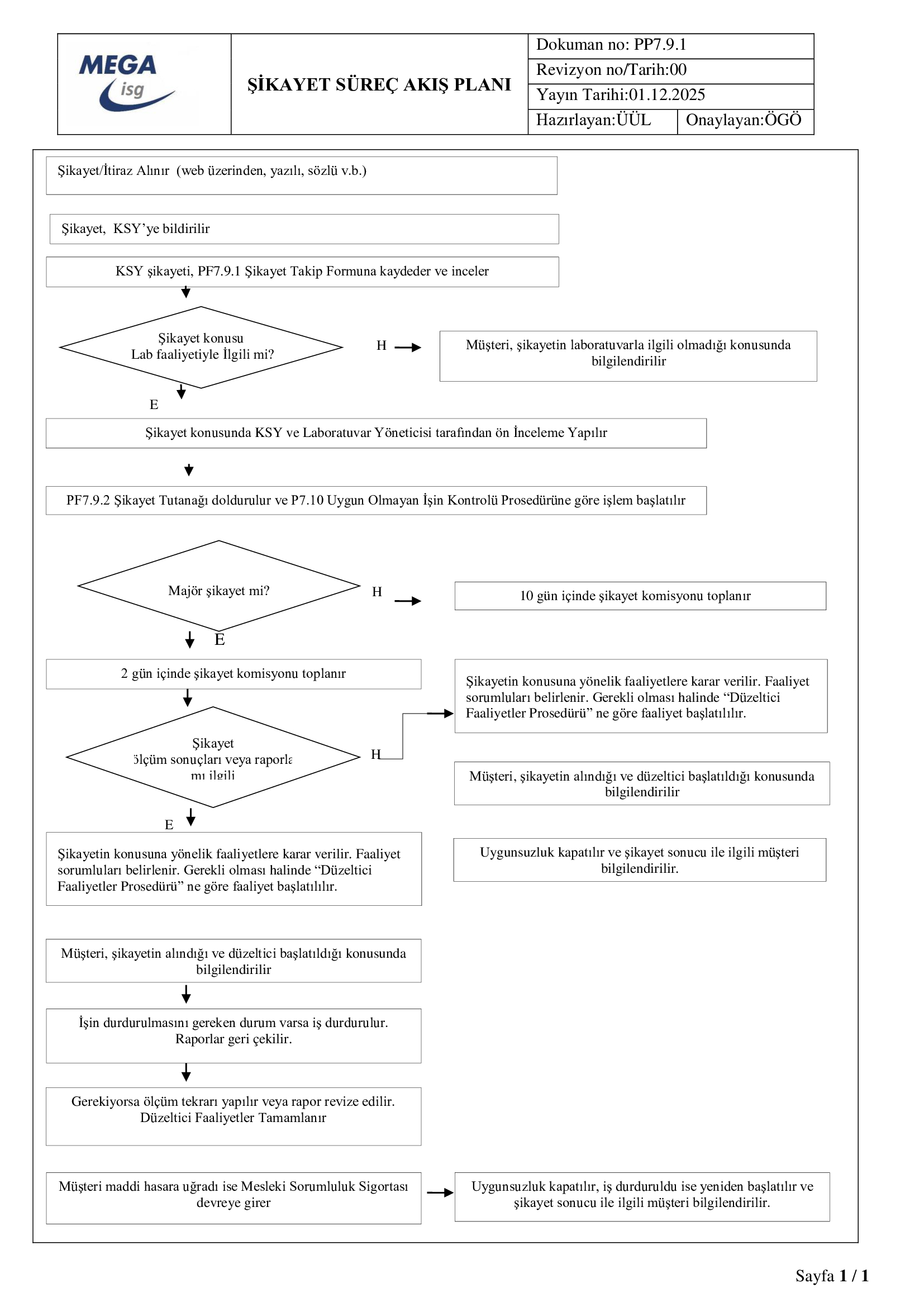
Şikayet ve İtiraz Süreç Akış Planı

Hakkımızda

2016 yılında Tarsus'ta kurulan Mega İSG, iş sağlığı ve güvenliği alanında uzmanlaşmış bir firmadır. Kuruluşumuzdan bu yana, güvenli ve sağlıklı çalışma ortamları oluşturma misyonuyla hizmet veriyoruz. Misyonumuz, çalışanların sağlığını ve güvenliğini en üst düzeyde tutarak, iş yerlerinde sürdürülebilir bir güvenlik kültürü oluşturmaktır. Vizyonumuz ise, Türkiye genelinde iş sağlığı ve güvenliği alanında en çok tercih edilen firma olmaktır.

İletişim Adresleri

Bugüne kadar, Türkiye'nin önde gelen firmaları ile çalışarak, başarılı projelere imza attık. İş sağlığı ve güvenliği ölçümleri alanında sunduğumuz kaliteli hizmetlerle, müşteri memnuniyetini en üst seviyede tutmayı başardık. Ofisimiz Tarsus'ta olup, detaylı bilgi ve hizmet talepleriniz için bizimle iletişime geçebilirsiniz. Bize megaisglab@gmail.com veya 0536 332 96 79 üzerinden ulaşabilirsiniz.

Kalite Politikamız

MEGA İSG olarak;

• Hizmetlerimizi yasal şartlar ve müşteri istekleri paralelinde  yeterlilik, tarafsızlık, bağımsızlık, dürüstlük, gizlilik, güvenilirlik  ilkelerini esas alarak  doğru, hızlı ve zamanında  gerçekleştirerek hizmetin sembolü olan markamızın devamlılığını sağlamak.

Güvenilirlik, liderlik, bilimsellik, sürekli eğitim  prensipleri çerçevesinde çalışanlarımızın görevleriyle ilgili tüm kalite gerekliliklerini öğrenmeleri ve faaliyetlerinde uygulamalarını sağlayarak hizmet kalitemizin düzeyini arttırmak ve sürekliliğini sağlanmak.

• Müşterilerimizle açık bir iletişim kurarak onları  bilgilendirmek, bilinçlendirmek.

• Hizmetlerimizin geliştirilmesi ve sunulmasında, müşteri istek ve beklentilerini göz önünde bulundurmaya odaklanarak tarafsızlık, yeterlilik, sorumluluk, açıklık, gizlilik ve şikâyetlerin çözümlenmesi prensipleri çerçevesinde hizmet sunduğumuz firma ve kurumlara katma değer yaratmak.

• Gösterdiğimiz bütün faaliyetlerimizde, kararları ve faaliyetleri etkileyebilecek her türlü  ticari, mali, idari ve diğer baskılardan uzak ve tarafsız hizmet vermek.

• Hizmetlerimizin tarafsızlığını tehdit edebilecek çıkar çatışmalarını düzenli olarak analiz etmek ve tüm personelimiz tarafından bu analizin anlaşılmasını sağlamak.

TS EN ISO/IEC 17025 standartlarının gereklerini yerine getirmek ve sürekliliğini sağlayarak, Sürekli iyileştirmek.

Yasal şartlara, ulusal ve uluslararası kurallara göre müşterilerin beklenti ve ihtiyaçlarına paralel olarak eğitilmiş ve yeterliliği tanımlanmış personeller tarafından periyodik kontrol  hizmeti sunabileceğimiz müşterilere tüm ülke genelinde hizmet vermek.

EN BÜYÜK HEDEFİMİZDİR.

Referans Firmalar

İLETİŞİM

Şikayet ve görüşleriniz için mail yoluyla iletişime geçebilirsiniz.

Adres

Akşemsettin, 0111. Sk. NO:15 A BLOK, 33480 TARSUS / MERSİN

Telefon & Faks

0536 332 96 79